2079: 括号树
Memory Limit:128 MB
Time Limit:1.000 S
Submit数:1
Solved数:1
Description
本题中合法括号串的定义如下:
- ()是合法括号串。
- 如果A是合法括号串,则(A)是合法括号串。
- 如果A,B是合法括号串,则AB是合法括号串。
- 字符串S的子串是S中连续的任意个字符组成的字符串。S的子串可用起始位置 lll 与终止位置 rrr 来表示,记为 S(lr)S (l r)S(lr)(1≤l≤r≤∣S∣1 \leq l \leq r \leq |S |1≤l≤r≤∣S∣,∣S∣|S |∣S∣ 表示 S 的长度)。
- S的两个子串视作不同当且仅当它们在S中的位置不同,即 lll 不同或 rrr 不同。
题目描述
一个大小为 nnn 的树包含 nnn 个结点和 n−1n − 1n−1 条边,每条边连接两个结点,且任意两个结点间有且仅有一条简单路径互相可达。
小 Q 是一个充满好奇心的小朋友,有一天他在上学的路上碰见了一个大小为 nnn 的树,树上结点从 111 ∼ nnn 编号,111 号结点为树的根。除 111 号结点外,每个结点有一个父亲结点,uuu(2≤u≤n2 \leq u \leq n2≤u≤n)号结点的父亲为 fuf_ufu(1≤fu<u1 ≤ f_u < u1≤fu<u)号结点。
小 Q 发现这个树的每个结点上恰有一个括号,可能是(或)。小 Q 定义 sis_isi 为:将根结点到 iii 号结点的简单路径上的括号,按结点经过顺序依次排列组成的字符串。
显然 sis_isi 是个括号串,但不一定是合法括号串,因此现在小 Q 想对所有的 iii(1≤i≤n1\leq i\leq n1≤i≤n)求出,sis_isi 中有多少个互不相同的子串是合法括号串。
这个问题难倒了小 Q,他只好向你求助。设 sis_isi 共有 kik_iki 个不同子串是合法括号串, 你只需要告诉小 Q 所有 i×kii \times k_ii×ki 的异或和,即:
(1×k1) xor (2×k2) xor (3×k3) xor ⋯ xor (n×kn)(1 \times k_1)\ \text{xor}\ (2 \times k_2)\ \text{xor}\ (3 \times k_3)\ \text{xor}\ \cdots\ \text{xor}\ (n \times k_n)(1×k1) xor (2×k2) xor (3×k3) xor ⋯ xor (n×kn)
其中 xorxorxor 是位异或运算。
小 Q 是一个充满好奇心的小朋友,有一天他在上学的路上碰见了一个大小为 nnn 的树,树上结点从 111 ∼ nnn 编号,111 号结点为树的根。除 111 号结点外,每个结点有一个父亲结点,uuu(2≤u≤n2 \leq u \leq n2≤u≤n)号结点的父亲为 fuf_ufu(1≤fu<u1 ≤ f_u < u1≤fu<u)号结点。
小 Q 发现这个树的每个结点上恰有一个括号,可能是(或)。小 Q 定义 sis_isi 为:将根结点到 iii 号结点的简单路径上的括号,按结点经过顺序依次排列组成的字符串。
显然 sis_isi 是个括号串,但不一定是合法括号串,因此现在小 Q 想对所有的 iii(1≤i≤n1\leq i\leq n1≤i≤n)求出,sis_isi 中有多少个互不相同的子串是合法括号串。
这个问题难倒了小 Q,他只好向你求助。设 sis_isi 共有 kik_iki 个不同子串是合法括号串, 你只需要告诉小 Q 所有 i×kii \times k_ii×ki 的异或和,即:
(1×k1) xor (2×k2) xor (3×k3) xor ⋯ xor (n×kn)(1 \times k_1)\ \text{xor}\ (2 \times k_2)\ \text{xor}\ (3 \times k_3)\ \text{xor}\ \cdots\ \text{xor}\ (n \times k_n)(1×k1) xor (2×k2) xor (3×k3) xor ⋯ xor (n×kn)
其中 xorxorxor 是位异或运算。
输入格式
第一行一个整数 nnn,表示树的大小。
第二行一个长为 nnn 的由(与)组成的括号串,第 iii 个括号表示 iii 号结点上的括号。
第三行包含 n−1n − 1n−1 个整数,第 iii(1≤i<n1 \leq i \lt n1≤i<n)个整数表示 i+1i + 1i+1 号结点的父亲编号 fi+1f_{i+1}fi+1。
第二行一个长为 nnn 的由(与)组成的括号串,第 iii 个括号表示 iii 号结点上的括号。
第三行包含 n−1n − 1n−1 个整数,第 iii(1≤i<n1 \leq i \lt n1≤i<n)个整数表示 i+1i + 1i+1 号结点的父亲编号 fi+1f_{i+1}fi+1。
输出格式
仅一行一个整数表示答案。
Sample Input Copy
5 (()() 1 1 2 2
Sample Output Copy
6
HINT
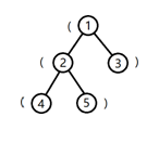
树的形态如下图:


将根到 1 号结点的简单路径上的括号,按经过顺序排列所组成的字符串为(,子串是合法括号串的个数为 000。
将根到 2 号结点的字符串为((,子串是合法括号串的个数为 000。
将根到 3 号结点的字符串为(),子串是合法括号串的个数为 111。
将根到 4 号结点的字符串为(((,子串是合法括号串的个数为 000。
将根到 5 号结点的字符串为((),子串是合法括号串的个数为 111。



将根到 1 号结点的简单路径上的括号,按经过顺序排列所组成的字符串为(,子串是合法括号串的个数为 000。
将根到 2 号结点的字符串为((,子串是合法括号串的个数为 000。
将根到 3 号结点的字符串为(),子串是合法括号串的个数为 111。
将根到 4 号结点的字符串为(((,子串是合法括号串的个数为 000。
将根到 5 号结点的字符串为((),子串是合法括号串的个数为 111。

Source/Category
⋮