1830: 习题5-7 求和

Memory Limit:12 MB Time Limit:1.000 S
Submit数:2 Solved数:2

Description

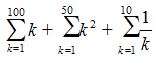
求如下式子的和

请将结果定义为double类型。

注意求平方,不要用C数学库中提供的函数pow。

Input描述

Output描述

小数点后保留6位小数,末尾换行。

Sample Input Copy

Sample Output Copy

47977.928968
Problem :   1830        Language:        




    # 输入数据自测: