1823: 例题5-8 Fibonacci数列

Memory Limit:128 MB Time Limit:1.000 S
Submit数:2 Solved数:2

Description

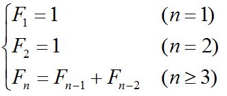
输入一个正整数n,求Fibonacci数列的第n个数。Fibonacci数列的特点:第1,2个数为1,1。从第3个数开始,概述是前面两个数之和。即:

要求输入的正整数n不超过50.

Input描述

一个不超过50的正整数

Output描述

Fibonacci数列的第n个数,末尾输出换行。

Sample Input Copy

20

Sample Output Copy

6765
Problem :   1823        Language:        




    # 输入数据自测: