1769: 例题4-5 符号函数

Memory Limit:12 MB Time Limit:1.000 S
Submit数:3 Solved数:2

Description

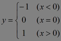
给定如下函数:

 

输入x的值,要求输出相应的y值。

末尾输出换行符。

程序中涉及的变量请均定义为整型(int)

Input描述

键盘输入一整数。

Output描述

输出-1, 0, 1三者之一

Sample Input Copy

5

Sample Output Copy

1
Problem :   1769        Language:        




    # 输入数据自测: